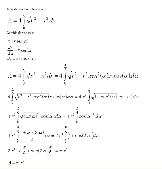
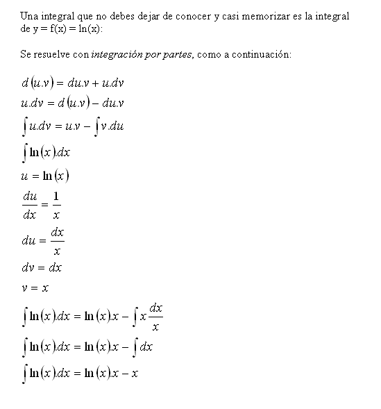
Listado de Archivos de Recaudos Subidos al Servidor Web Para volver al formulario de solicitud de creación de empresas y/o cooperativa haz click aquí